
Catalog# Product Description |
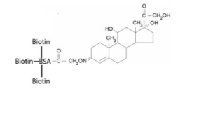
ICP1768 The hydrocortisone-3-carboxylmethyloxime (CMO) is linked to Bovine serum albumin (BSA), which is further conjugated with dBiotin. It can be used as an antigen in sandwich ELISA tests.
|
|
![]()
Structure of the Hydrocortisone-BSA-Biotin
|
Formulation |
1 mg lyophilized powder
|
||
Conjugation |
Hydrocortisone-3-carboxylmethyloxime is linked to BSA via amine acylation, followed by biotin conjugation.
Hydrocortisone/BSA/biotin ratio: 3:1:10
|
||
ELISA Titer (OD50) |
In sandwich ELISA using anti-hydrocortisone (ICP1836) and anti-biotin HRP (ICP0612), the OD50 concentration of hydrocortisone-BSA is approximately 50 ng/mL
|
||
Applications |
Sandwich ELISA
|
||
Storage & Stability |
Product is stable for several weeks at 4°C. For extended storage, aliquot and store product at –20oC. |