
Hydrocortisone-3-CMO BSA
Catalog# Product Description |
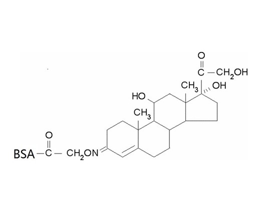
ICP1748 The Hydrocortisone-3-carboxylmethyloxime(CMO)is linked to Bovine serum albumin (BSA). It can be useful as an antigen for anti-hydrocortisone antibody assays in both ELISA and gold colloid strip tests.
|
|
![]()
Structure of the Hydrocortisone-3-CMO-BSA
|
Formulation |
1 mg lyophilized powder
|
||
Conjugation |
Hydrocortisone-3-carboxylmethyloxime is linked to BSA via amine acylation. Hydrocortisone/BSA ratio: 10:1
|
||
ELISA Titer |
OD50 concentration for immobilization of hydrocortisone-BSA in ELISA test is approximately 50 ng/mL
|
||
Applications |
ELISA: suggested coating concentration: 0.05-0.2 μg/mL; Gold colloid: to be optimized by users
|
||
Storage & Stability |
Product is stable for several weeks at 4°C. For extended storage, store product at –20oC. |